
C.Gamble¹, V.Hughes², A. Seabrook³
Sulfur dioxide (SO₂) is a naturally occurring compound produced by yeast as a by-product of alcoholic fermentation. It is commonly added at various stages in the winemaking process primarily for its antimicrobial and antioxidant activity. There are restrictions limiting the amount that can be added in most wine producing countries. The maximum allowable level of total SO₂ in wine in Australia is 250 ppm for any wine under 35 g/L of sugar and 300 ppm for all other wines (Australian and New Zealand Food Standards; 4.5.1). Importantly, consumer preferences are leaning towards minimal intervention or low SO₂ wines if not preservative-free, whilst demanding a quality product. As a consequence, producers are carefully monitoring and controlling how much SO₂ is added more than ever.
Understanding SO₂ in wine is critical to ensuring microbial stability and oxidative control. SO₂ can be found in both free and bound form. The sum of these two values makes up the total SO₂ value. In its free form, SO₂ has both an antimicrobial and anti-oxidative effect (Jackowetz, J.N. and de Orduña, R.M. 2012; Carreté et al. 2002). The bound SO₂ contributes to the total SO₂ level, but is not available for anti-microbial and anti-oxidative control. The amount of free SO₂ is dependent on the pH. The lower the pH the more available free SO₂, and similarly the higher the pH the smaller the amount of free SO₂ available. Many other compounds are able to bind to SO₂ affecting the levels of free SO₂ (Ribereau-Gayon et al. 2006). Further to this, recent studies have demonstrated the now increased SO₂ tolerance that B. bruxellensis presents in modern winemaking (Barata et al. 2008; Curtin et al. 2012; Agnolucci et al. 2014).
The aspiration method is commonly utilised and an accepted OIV method (OIV-MA-AS323-04A1l; OIV-MAAS323-04A2). This involves acidification of the sample to liberate molecular SO₂, which is then titrated against sodium hydroxide. In the case of bound SO₂, the sample is heated to break the SO₂ bonds. This is labour intensive, subject to operator variation and often the bottle neck in many wine laboratories at certain times of year.
Spectrophotometric based SO₂ methods present an important progression in SO₂ testing as they are rapid, reliable, economical and can be automated using discrete analyzers (DA) (Gilchrist et al. 1999). Recent attempts to offer a spectrophotometric alternative to the aspiration method for free SO₂ analysis have been based around formaldehyde/pararosaniline chemistry and therefore pose occupational health and safety concerns for many winery laboratories (Grant, 1947).
The Vintessential SO₂ test kits are a fast, safe and easy way to determine the amount of sulfur dioxide in wine samples, without the need for the laborious setup associated with traditional methods. This method can be used for both white and red wines and does not contain Formaldehyde based solutions.
The amount of sulfite present in wine is measured by monitoring the reaction with a colour changing compound (chromogen) under acidic (for FSO₂) or basic (for TSO₂) conditions (Figure 1). The reduction of the chromogen leads to formation of a strongly absorbing compound which can be measured at 340 nm using a DA or benchtop spectrophotometer. The measurement of the activated chromogen is stoichiometrically proportional to the amount of sulfite present.

Figure 1. Colourless chromogen reacting with either free or total SO2 to form a compound that is able to be detected at 340nm on either an automatic analyser or a benchtop spectrophotometer.
A control is recommended (i.e. cask wine verified by A/O) with each run. Sodium metabisulfite is used to prepare fresh standards over a range of SO₂ concentrations. A calibration curve is then constructed using a discrete analyser as per the parameters outlined in the kit insert. Samples are analysed directly using a ‘true sample blank’ method which essentially prepares two reactions per sample. One of these reactions has the chromogen added, the other a ‘replacement’ or ‘blank’ reagent. After a short incubation period, the difference in absorbance between these two samples is then used to calculate the concentration of SO₂ as compared to the calibration curve. This method takes into account any colour in a sample that is not associated with the reduced chromogen, and it is this approach that allows high accuracy for both white and red wine samples.
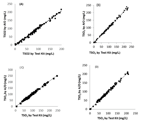
Figure 2 represents an overview of the results collected by Vintessential on different discrete analysers (DA’s) as part of the kit validation and shows excellent correlation with traditional methods across a range of samples and DA’s.
Validation of the kits was performed on a range of commercially available analysers including Thermo Scientific Arena, Thermo Scientific Gallery, the Chemwell 2910 and the Winery Pro. There is a linear correlation between the DA kits and traditional aspiration as shown in Figure 2 (A-D) for free SO₂ and Figure 2 (A-D) for total SO₂. With a large sample set of white wine, red wine, beer and cider, Vintessential were able to demonstrate that the kits are a fast, reproducible alternative to traditional aspiration (Table 1 below). The statistics provided in Table 1 show that the kits perform exceptionally well, with repeatability and reproducibility well within the industry accepted standards. Specific method optimisation for each instrument resulted in R₂ values of between 0.92 and 0.97 for free SO₂, analysis. The larger linear range associated with total SO₂ analysis enabled method optimisation to achieve R₂ values of 0.99 for all analysers. The average difference between the kits and A/O for both free and total SO₂ was between 0 mg/L and 2 mg/L. These results have now been validated in both the Vintessential and Winechek laboratories and show that this method is a fast and accurate way to analyse large volumes of samples and subsequently improve productivity and efficiency. Automated analysis allows high-throughput SO₂ monitoring to enable the continued maintenance of free SO₂ levels to ensure they are at adequate levels to avoid microbial spoilage or oxidative issues. Fast and accurate determination of total SO₂ levels ensures that wines are in line with consumer expectations and Government restrictions. Kits for use with Spectrophotometers are also available.

Figure 2. A-D. Correlation between aspiration and Vintessential SO2 DA kits for free SO2 and total SO2 levels (A) Chemwell 2910, (B) Winery Pro, (C) Thermo Scientific Arena, (D) Thermo Scientific Gallery.

Table 1. Validation data for free SO2 and total SO2 levels (A) Chemwell 2910, (B )Winery Pro, (C) Thermo Scientific Arena, (D) Thermo Scientific Gallery.
Validation work carried out by Vintessential Laboratories as well as Winechek Laboratories has demonstrated both free and total SO₂ measurements using automated spectrophotometric analysis is an excellent alternative to the aspiration method. This approach also offers a safe alternative to other automated methods based on formadehyde/pararosaniline chemistry but retains the advantages of being fast and accurate.
Although it requires trained technicians and a higher level of initial capital than the aspiration method which is accepted as industry standard, automated SO₂ analysis enables large laboratories to run many samples with minimal labour input. Installing a discrete analyser has the added advantage of enabling the laboratory to run other analyses such as glucose/fructose, acetic acid, malic acid and lactic acid. This SO₂ analysis has been validated on multiple discrete analysers, however it will need to be validated specifically for each instrument and winery set up.
Gilchrist A, Nobbs J. Colorimetry, theory. Encyclopedia of spectroscopy and spectrometry. 1999 Jan 1:337-43.
Grant WM. Colorimetric determination of sulfur dioxide. Analytical Chemistry. 1947 May 1;19(5):345-6.
Ribéreau-Gayon P, Dubourdieu D, Doneche B, Lonvaud A. The use of sulfur dioxide in must and wine treatment. Handbook of Enology. The Microbiology of Wine and Vinifications. 2006:193-7.
Jackowetz, J.N. and de Orduña, R.M., 2012. Metabolism of SO2 binding compounds by Oenococcus oeni during and after malolactic fermentation in white wine. International journal of food microbiology, 155(3), pp.153-157.
R. Carreté, M.T. Vidal, A. Bordons, M. Constanti. Inhibitory effect of sulfur dioxide and other stress compounds in wine on the ATPase activity of Oenococcus oeni FEMS Microbiology Letters, 211 (2002), pp. 155-159
Agnolucci, M., Cristani, C., Maggini, S., Rea, F., Cossu, A., Tirelli, A., et al. (2014). Impact of sulphur dioxide on the viability, culturability, and volatile phenol production of Dekkera bruxellensis in wine . Ann .Microbiol. 64,653–659. doi:10.1007/s13213-013-0698-6
Barata, A., Caldeira, J., Botelheiro, R., Pagliara, D., Malfeito- Ferreira, M., and Loureiro, V. (2008). Survival patterns of Dekkera bruxellensis in wines and inhibitory effect of sulphur
dioxide. Int. J. Food Microbiol. 121, 201–207. doi:10.1016/j. ijfoodmicro.2007.11.020
Curtin,C.,Kennedy,E.,and Henschke,P.A.(2012).Genotypedependent sulphite tolerance of Australian Dekkera (Brettanomyces) bruxellensis wine isolates. Lett. Appl. Microbiol. 55,56–61.doi:10.1111/j.1472-765X.2012.03257.x